工作流
工作流是指一类能够完全自动执行的经营过程,根据一系列过程规则,将文档、信息或任务在不同的执行者之间进行传递与执行。说的直白一点工作流就是封装好的一种框架,我们利用这种框架来解决需要多个人或者多个部门协同完成的某项工作。so-fast基于 Flowable 6.6实现协同流程,支持在线实时 modeler 设计流程图,流程节点发起 处理,及其流程节点的图形化查看功能。
流程设计
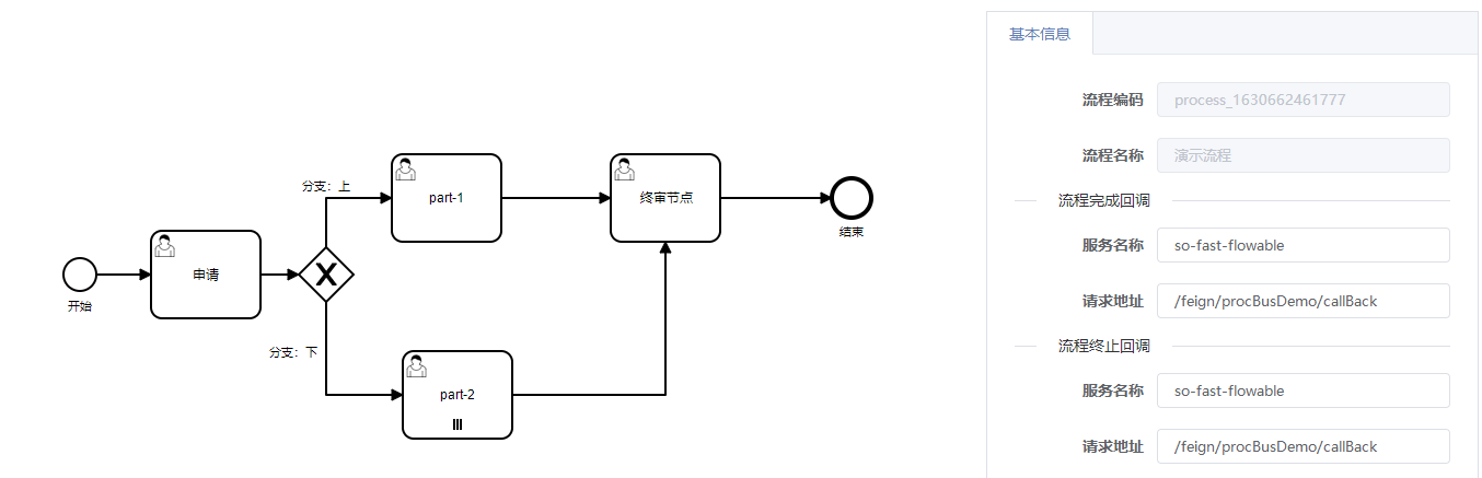
流程基本信息

- 流程编码:全局唯一编码
- 流程完成回调:流程正常结束时回调地址
- 服务名称:Nacos注册中心中的服务名称
- 流程终止回调:流程取消或流程终止时回调地址
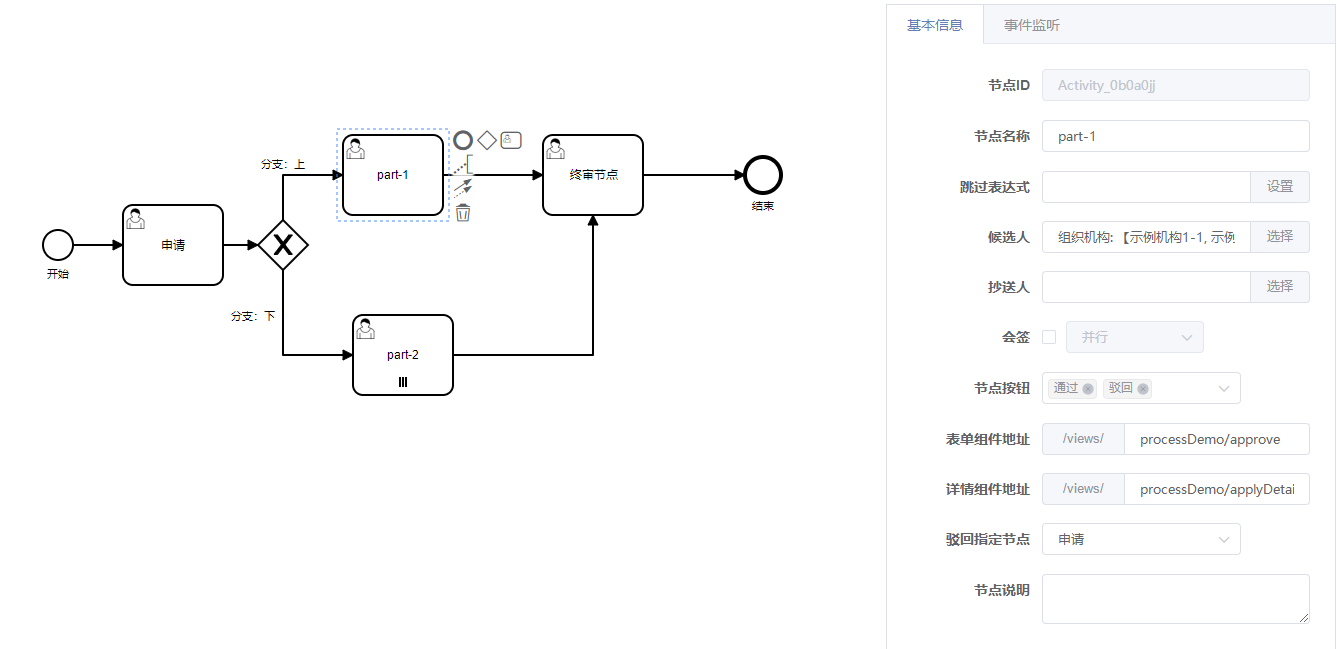
节点基本信息

通知方式为邮件通知,暂时仅支持待办通知和流程完成通知,抄送人通知暂不支持
- 待办通知:发送邮件至办理人,提醒处理待办
- 完成通知:发送邮件至申请人,提醒申请已结束
- 流程通知开关配置:true为开启通知,false为关闭通知,默认为关闭通知
sofast: #工作流通知 flowable: notice-enable: true表单组件地址:创建业务信息的地址
详情组件地址:显示业务信息的地址
节点事件监听

事件监听仅支持执行事件,在任务开始前或完成后调用配置的请求地址
流程设计完成后,点击发布按钮发布流程。
后台使用方式
自己工程的POM文件里导入以下配置
<!-- 工作流模块依赖 -->
<dependency>
<groupId>com.sofast.cloud</groupId>
<artifactId>so-fast-flowable-sdk</artifactId>
</dependency>
工作流模块依赖提供如下功能:
- 流程实例开始接口
- 流程任务驳回后再申请接口
- 流程任务审批同意接口
- 流程任务审批拒绝接口
